Ticaret Bakanlığı’na 750 Personel Alınacak
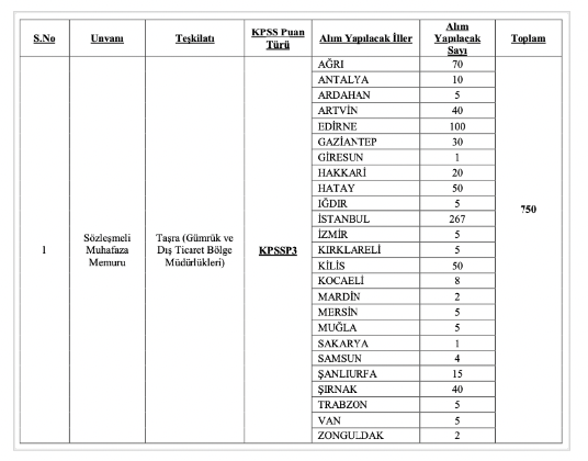
Ticaret Bakanlığı’na 750 sözleşmeli personel alımı yapılacağına ilişkin resmi duyuru Çalışma ve Sosyal Güvenlik Bakanlığı ve Cumhurbaşkanlığı Kariyer sayfasından yayımlandı. İlgili duyuruda 750 sözleşmeli muhafaza memuru alımı yapılacağı belirtilirken, alımların 25 şehirde gerçekleşeceği vurgulandı.
Duyuruda başvuru yapmak isteyen adayların KPSS’ye girmiş olması gerektiği ve en az 70 puan şartını yerine getirmesi gerektiği belirtildi.
Başvuru yapmak isteyen adaylarda aranacak şartlar ise şu şekilde:

657 sayılı Devlet Memurları Kanununun 48 inci maddesinde belirtilen genel şartları taşımak,
Giriş sınavının yapıldığı yılın ocak ayının birinci günü itibarı ile otuz yaşını doldurmamış olmak (01.01.1991) ve daha sonra doğanlar başvurabilecektir.),
En az dört yıllık eğitim veren fakülte ve yüksekokulların hukuk, uluslararası ilişkiler, siyaset bilimi ve uluslararası ilişkiler, iktisat, ekonomi, kamu yönetimi, siyaset bilimi ve kamu yönetimi, işletme, maliye, ekonometri, çalışma ekonomisi ve endüstri ilişkileri, istatistik, uluslararası ticaret ve lojistik, uluslararası ticaret ve işletmecilik, uluslararası ticaret, finans ve bankacılık, gümrük işletme bölümlerinden ya da bunlara denkliği Yükseköğretim Kurulu tarafından onaylanmış yurt dışındaki yükseköğretim kurumlarının yukarıda belirtilen bölümlerinden mezun olmak,
ÖSYM tarafından 2020 yılında yapılan Kamu Personeli Seçme Sınavından, yukarıdaki tabloda belirtilen ilgili KPSS puan türünden 70 ve üzeri puan almak,
Erkeklerde en az 172 cm, kadınlarda ise en az 165 cm boyunda olmak,
Sağlık Bakanlığına bağlı tam teşekküllü Devlet hastanelerinden görevini devamlı yapmasına engel olabilecek akıl hastalığı veya bedensel özürlü olmadığını, psikiyatrik bir hastalığı, kişilik bozukluğu, nörolojik rahatsızlığı, şaşılığı, körlüğü, gece körlüğü, renk körlüğü, işitme kaybı, topallık, kekemelik, kas veya iskelet sisteminde hareket kısıtlılığı ve benzeri engeller bulunmadığını belirten ve “Yurdun her yerinde görev yapabilir ve silah kullanabilir” ibareli sağlık kurulu raporu almak,
Söz konusu rapor atanmaya hak kazanan adaylardan evrak teslim sürecinde istenilecektir.(Başvuru aşamasında istenilmeyecektir.)
BAŞVURULAR NASIL VE NEREDEN YAPILACAK?
Başvuru işlemleri 9 Ağustos’ta başlayacak 18 Ağustos’ta sona erecek. Başvurular Cumhurbaşkanlığı kariyer sayfasından gerçekleşecek. Başvuru sürecine dair yapılan resmi açıklamada şu ifadelere yer verildi:
Başvurular dijital ortamda 09/08/2021-18/08/2021 tarihleri arasında alınacaktır. Sınava katılmak isteyen adaylar,
e-devlet (Ticaret Bakanlığı / Kariyer kapısı) ve Kariyer Kapısı https://isealimkariyerkapisi.cbiko.gov.tr üzerinden başvurularını
gerçekleştirecektir. Posta ile veya diğer şekillerde yapılan müracaatlar kabul edilmeyecektir.
Aranan şartlardan herhangi birini taşımadığı tespit edilen adayların başvurusu değerlendirmeye alınmayacaktır
Ayrıca Kamu Görevlerine İlk Defa Atanacaklar İçin Yapılacak Sınavlar Hakkında Genel Yönetmeliğin ek 2'nci maddesi kapsamında 2020 yılı KPSS puanı ile ÖSYM tarafından merkezi yerleştirmesi yapılan adayların Sözleşmeli Muhafaza Memuru alımına ilişkin başvuruları dikkate alınmayacaktır.
Uygulamalı (Fiziki Yeterlilik) sınava, KPSS başarı sırasına göre atama yapılacak kadro sayısının dört katı aday çağırılacaktı r. Son sıradaki adayla aynı puana sahip olan birden fazla aday bulunması halinde, bu adayların tümü fiziki yeterlilik sınavına çağrılacaktır.