Tapu ve Kadastro Genel Müdürlüğü 426 Sözleşmeli Personel Alımı Başvuruları Başladı
Tapu ve Kadastro Genel Müdürlüğü tarafından 2022 KPSS puanlarıyla alımı yapılacak 426 personel kadrosu için başvurular bugün itibariyle başladı. Başvuru linki haberimizde.
Sözleşmeli personel alımı için Tapu ve Kadastro Genel Müdürlüğünden personel alım ilanı geldi. 2022 KPSS puanıyla alımı yapılacak başvurular ön lisans adaylarına yönelik olarak açıklandı.
KPSS Şartı?
Adayların başvuru yapabilmesi için 2022 KPSS P93 puan türünden 70 ve üzeri bir puan almış olması gerekiyor.
Alım Yapılacak Kadrolar
Sözleşmeli Tekniker (Tapu Müdürlükleri): 352 personel
Sözleşmeli Tekniker (Kadastro Müdürlükleri): 73 personel
Büro Personeli: 1 personel
Mezun Olunan Program Adı
Başvuru Tarihi ve Şekli
Adaylar başvuruları 1 Aralık – 11 Aralık 2022 tarihleri arasında e-devlet üzerinden Tapu ve Kadastro Genel Müdürlüğü - Kariyer Kapısı - Kamu İşe Alım veya Kariyer Kapısı https://isealimkariyerkapisi.cbiko.gov.tr üzerinden yapılacaktır. Şahsen, kargo ya da posta yoluyla yapılan başvurular kabul edilmeyecektir.
Başvuru Genel Şartları
1) 657 sayılı Devlet Memurları Kanununun 48 inci maddesinin birinci fıkrasının (A) bendinin (1), (4), (5), (6), (7) ve (8) numaralı alt bentlerinde yer alan şartları taşımak.
2) Başvuru yapılacak unvan ile aynı unvanda Kamu kurum ve kuruluşlarında sözleşmeli olarak çalışmıyor olmak.
3) 657 sayılı Devlet Memurları Kanununun 4/B maddesinin; “Bu şekilde istihdam edilenler, hizmet sözleşmesi esaslarına aykırı hareket etmesi nedeniyle kurumlarınca sözleşmelerinin feshedilmesi veya sözleşme dönemi içerisinde Cumhurbaşkanı Kararı ile belirlenen istisnalar hariç sözleşmeyi tek taraflı feshetmeleri halinde, fesih tarihinden itibaren bir yıl geçmedikçe kurumların sözleşmeli personel pozisyonlarında istihdam edilemezler.” hükmüne uygun olmak.
4) Adayların mezun oldukları ön lisans programlarına uygun pozisyonlara başvuru yapmaları gerekmektedir. Farklı bölüm mezunlarının başvuruları geçersiz sayılacaktır.
5) Arşiv araştırması ve güvenlik soruşturması olumlu olmak.
BAŞVURU SAYFASINA GİTMEK İÇİN TIKLAYIN
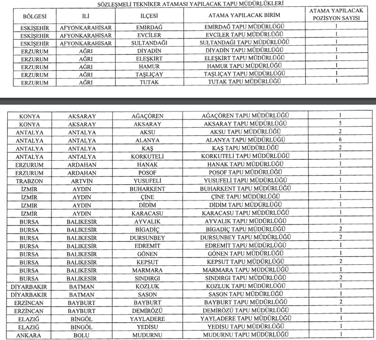
İl İl Kadro Dağılımı
KAMU İLANLARI VE MEMUR ALIMLARINDAN ANLIK OLARAK HABERDAR OLMAK İÇİN UYGULAMAMIZI İNDİRİN.
SOSYAL MEDYA HESAPLARIMIZI TAKİP EDEREK TÜM İLANLARDAN ANINDA HABERDAR OLUN!




