Orman Genel Müdürlüğü En Az İlköğretim Mezunu KPSS Şartı Personel Alım İlanı Yayımladı
Resmi Gazetenin bugünkü sayısında Orman Genel Müdürlüğü tarafından 131 personel alımı yapılacağı duyuruldu.
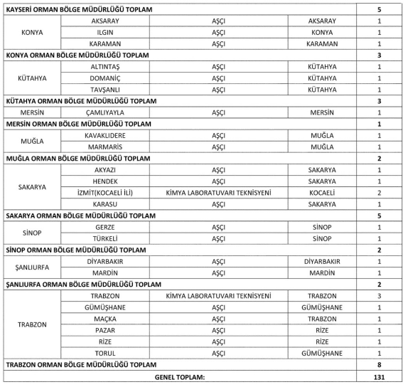
Yayımlanan ilanda 28 farklı şehirde 8 farklı pozisyonda geçici 131 işçi alınacağı belirtildi. Başvurular İŞKUR üzerinden olacak.
KPSS Şartı Var Mı?
Başvurular için KPSS şartı aranmamaktadır. Sözlü ve uygulama sınavına, alım yapılacak kadronun 4 katı kadar aday çağırılacaktır. Bu adaylar, kura çekimi sonucu belirlenecektir.
Alım Yapılacak Kadrolar
Aşçı: 84 personel
Kimya Laboratuvarı Teknisyeni: 19 personel
Matbaa Teknisyeni: 2 personel
Otomotiv Elektrikçisi: 3 personel
Motor İmalat Bakım ve Onarım İşçisi: 4 personel
Otomotiv Şasi ve İskelet İşçisi: 10 personel
Kaynakçı (oksijen ve elektrik): 1 personel
İşletme Elektronik Bakımcısı: 8 personel
Başvuru Genel Şartları
1.2527 sayılı Türk Soylu Yabancıların Türkiye'de Meslek ve Sanatlarını Serbestçe Yapabilmelerine, Kamu, Özel Kuruluş veya İşyerlerinde Çalıştırılabilmelerine İlişkin Kanun hükümleri saklı kalmak kaydıyla Türk vatandaşı olmak,
2. Başvuru süresinin son tarihi itibarı ile 18 yaşını tamamlamış olmak,
3.Başvuru yapacak adayların, Affa uğramış olsa bile Devletin güvenliğine karşı suçlar, anayasal düzene ve bu düzenin işleyişine karşı suçlar, millî savunmaya karşı suçlar, Devlet sırlarına karşı suçlar ve casusluk, zimmet, irtikâp, rüşvet, hırsızlık, dolandırıcılık, sahtecilik, güveni kötüye kullanma, hileli iflas, ihaleye fesat karıştırma, edimin ifasına fesat karıştırma, suçtan kaynaklanan malvarlığı değerlerini aklama veya kaçakçılık suçlarından mahkûm olmamak,
4.Kamusal hakları kullanmaktan yoksun bırakılmamış olmak,
5.Başvurunun son günü itibarıyla talep edilen öğrenim durumu ile diğer genel ve özel şartlara haiz olmak,
6.Herhangi bir sosyal güvenlik kurumundan emeklilik, yaşlılık veya malullük aylığı almıyor olmak,
7.Türkiye İş Kurumu Açık İş İlanında belirtilen yerleşim biriminde/birimlerinde ikamet ediyor olmak,
8. Her aday, yalnızca bir meslek koluna başvuru yapabilecektir,
9. Talep şartlarını taşımadığı sonradan anlaşılan adayların başvuruları ilan, kura, sınav ve atama süreçlerinin her aşamasında idarece sonlandırılabilecektir,
10. Noter huzurunda Kura çekimi 23-27.01.2023 tarihleri arasında olacaktır. Kuranın net tarihi, ilgili bölge müdürlüğünün internet sitesinde yayımlanacaktır,
11. Adaylardan istenilecek evraklar, evrak teslim tarihleri, sınav tarihi ve işe alım süreci ile ilgili tüm bilgilendirmeler Orman Bölge Müdürlükleri internet siteleri üzerinden duyurulacaktır,
12. Deneme süresi 4857 sayılı İş Kanunu uyarınca 2 aydır. Ancak aday işçilerin idaremizde yürürlükte olan işletme toplu iş sözleşmesine tabi olmaları durumunda deneme süresi 4 ay olarak uygulanacaktır.
Başvuru Özel Şartları
Aşçı
1. En az ilköğretim mezunu en fazla lisans mezunu olmak,
2. “Dahiliye, Genel Cerrahi, Göz, KBB, Nöroloji ve Psikiyatri" alanlarından “sağlam" onayı alınmış tam teşekküllü devlete bağlı resmi sağlık kuruluşlarından sağlık raporu almış olmak (Bu rapor sözlü ve uygulamalı sınavda başarılı olan adaylardan istenecektir),
3. a) Ortaöğretim Aşçılık bölümünden,Veya
b) Ön lisans veya Lisans Aşçılık, Gastronomi ve Mutfak Sanatları, Gemi Aşçılığı, Hazır Yemek ve Aşçılık, Mutfak Yönetimi, Yemek Pişirme Teknikleri bölümlerinin en az bir tanesinden mezun olmak, Veya
c) Aşçılık veya Aşçı Yardımcılığı Meslek Kolu ile ilgili Milli Eğitim Bakanlığı onaylı Bitirme Belgesi, Yetki Belgesi, Sertifika, Bağımsız İşyeri Açma Belgesi, Kalfalık, Ustalık, Usta Öğreticilik belgelerinden herhangi birine Veya
d) Aşçı (Seviye 4) Mesleki Yeterlilik Belgesine [13UY0182-4] sahip olmak,
4. Başvuru süresinin ilk günü itibarı ile 35 yaşını doldurmamış olmak.
İşletme Elektronik Bakımcısı
1. En az ortaöğretim mezunu en fazla ön lisans mezunu olmak,
2.“Dahiliye, Genel Cerrahi, Göz, KBB, Nöroloji ve Psikiyatri" alanlarından “sağlam" onayı alınmış tam teşekküllü devlete bağlı resmi sağlık kuruluşlarından sağlık raporu almış olmak (Bu rapor sözlü ve uygulamalı sınavda başarılı olan adaylardan istenecektir),
3. a) Ortaöğretim Kurumlarının Elektrik-Elektronik Teknolojisi, Elektrik-Elektronik Bölümlerinden, Veya
b) Elektrik-Elektronik, Elektrik-Elektronik Teknolojisi, Elektronik Teknolojisi, Elektronik, Elektronik Haberleşme, Elektronik Haberleşme Teknolojisi, Mekatronik veya Mekatronik Teknolojisi ön lisans programlarının herhangi birinden mezun olmak,
4. Başvuru süresinin ilk günü itibarı ile 35 yaşını doldurmamış olmak.
Kimya Laboratuvarı Teknisyeni
1. En az ortaöğretim mezunu en fazla ön lisans mezunu olmak,
2. “Dahiliye, Genel Cerrahi, Göz, KBB, Nöroloji ve Psikiyatri" alanlarından “sağlam" onayı alınmış tam teşekküllü devlete bağlı resmi sağlık kuruluşlarından sağlık raporu almış olmak (Bu rapor sözlü ve uygulamalı sınavda başarılı olan adaylardan istenecektir),
3. Ortaöğretim Kurumlarının Kimya Teknolojisi Alanından mezun olmak,
4. En az 1 yıl alanında mesleki tecrübe sahibi olmak ve belgelendirmek (SGK Hizmet Dökümü ile veya ilgili meslek odası onaylı Bonservis belgesi ile belgelemek),
5. Başvuru süresinin ilk günü itibarı ile 35 yaşını doldurmamış olmak.
Matbaa Teknisyeni
1. En az ilköğretim mezunu en fazla ön lisans mezunu olmak,
2. “Dahiliye, Genel Cerrahi, Göz, KBB, Nöroloji ve Psikiyatri" alanlarından “sağlam" onayı alınmış tam teşekküllü devlete bağlı resmi sağlık kuruluşlarından sağlık raporu almış olmak (Bu rapor sözlü ve uygulamalı sınavda başarılı olan adaylardan istenecektir),
3. En az 3 yıl Matbaa Teknolojisi alanında mesleki tecrübe sahibi olmak ve belgelendirmek (SGK Hizmet Dökümü ile veya ilgili meslek odası onaylı Bonservis belgesi ile belgelemek),
4. Başvuru süresinin ilk günü itibarı ile 40 yaşını doldurmamış olmak.
Otomotiv Elektrikçisi
1.En az ilköğretim mezunu en fazla ortaöğretim mezunu olmak,
2. “Dahiliye, Genel Cerrahi, Göz, KBB, Nöroloji ve Psikiyatri" alanlarından “sağlam" onayı alınmış tam teşekküllü devlete bağlı resmi sağlık kuruluşlarından sağlık raporu almış olmak (Bu rapor sözlü ve uygulamalı sınavda başarılı olan adaylardan istenecektir),
3. a) Mesleki eğitim veren ortaöğretim kurumlarının;
Elektrik-Elektronik Teknolojisi Alanı ile Elektrik, Elektrik-Elektronik, Elektrikçilik, Elektrik Tesisatçılığı, Elektrik-Elektronik Teknolojisi, Oto Elektrik, Bobinaj bölümlerinden herhangi birinden mezun olmuş olmak, Veya
b) Otomotiv Elektrikçiliği, Otomotiv Elektromekanikerliği, Bakım ve Onarım Elektrikçiliği, Elektrik, Elektrik Teknolojileri, Bobinaj, Oto Elektrikçiliği dallarının herhangi birinden Milli Eğitim Bakanlığından onaylı Bitirme Belgesi, Yetki Belgesi, Sertifika, Bağımsız İşyeri Açma Belgesi, Kalfalık, Ustalık, Usta Öğreticilikbelgelerinden Veya
c) 11uy0019-4 Otomotiv Elektrikçisi (seviye 4) Mesleki Yeterlilik Belgesine sahip olmak,
4.Başvuru süresinin ilk günü itibarı ile 40 yaşını doldurmamış olmak.
Kaynakçı
1. En az ilköğretim mezunu en fazla ortaöğretim mezunu olmak,
2.“Dahiliye, Genel Cerrahi, Göz, KBB, Nöroloji ve Psikiyatri" alanlarından “sağlam" onayı alınmış tam teşekküllü devlete bağlı resmi sağlık kuruluşlarından sağlık raporu almış olmak (Bu rapor sözlü ve uygulamalı sınavda başarılı olan adaylardan istenecektir),
3. a) Mesleki eğitim veren ortaöğretim kurumlarının;
Metal Teknolojisi alanının Kaynakçılık veya Metal Doğrama dallarının herhangi birinden mezun olmak, Veya
b) Kaynakçılık, Metal İşleri, Metal Teknolojisi(Kaynakçılık), Elektrik Kaynakçılığı dallarının herhangi birinden Milli Eğitim Bakanlığından onaylı Bitirme Belgesi, Yetki Belgesi, Sertifika, Bağımsız İşyeri Açma Belgesi, Kalfalık, Ustalık, Usta Öğreticilik belgelerinden herhangi biri, Veya
c) 11UY0014-3 Alüminyum Kaynakçısı (Seviye 3)
11UY0010-3 Çelik Kaynakçısı (Seviye 3)
11UY0016-4 Kaynak Operatörü (Seviye 4)
12UY0053-3 Otomotiv Sac ve Gövde Kaynakçısı Mesleki Yeterlilik Belgesi (Seviye 3),
12UY0053-4 Otomotiv Sac ve Gövde Kaynakçısı (Seviye 4),
Mesleki Yeterlilik Belgelerinden herhangi birine sahip olmak,
4.Başvuru süresinin ilk günü itibarı ile 40 yaşını doldurmamış olmak.
Motor İmalat Bakım ve Onarım İşçisi
1.En az ilköğretim mezunu en fazla ortaöğretim mezunu olmak.
2. “Dahiliye, Genel Cerrahi, Göz, KBB, Nöroloji ve Psikiyatri" alanlarından “sağlam" onayı alınmış tam teşekküllü devlete bağlı resmi sağlık kuruluşlarından sağlık raporu almış olmak (Bu rapor sözlü ve uygulamalı sınavda başarılı olan adaylardan istenecektir),
3. a) Mesleki eğitim veren ortaöğretim kurumlarının; Motorlu Araçlar Teknolojisi alanının İş Makineleri veya Otomotiv Elektromekanik dallarından birinden mezun olmak, Veya
b) Motorlu Araçlar Teknolojisi alanının; Otomotiv Mekanikerliği, Otomotiv Motor Yenileştirmeciliği, İş Makineleri, Otomotiv Elektromekanik, Oto Motor Mekanikerliği, İş Makineleri Bakım Onarımcılığı, İş Makineleri Tamirciliği, Otomotiv Elektro-mekanikerliği, Oto Motor Tamirciliği dallarının herhangi birinden Milli Eğitim Bakanlığından onaylı Bitirme Belgesi, Yetki Belgesi, Sertifika, Bağımsız İşyeri Açma Belgesi, Kalfalık, Ustalık, Usta Öğreticilik belgelerinden herhangi birine sahip olmak, Veya
d) 20UY0408-4 İş Makinesi Bakım ve Onarımcısı (Seviye 4),
11UY0021-4 Otomotiv Mekanikçisi Mesleki Yeterlilik Belgesi (Seviye 4),
11UY0020-5 Otomotiv Elektromekanikçisi Mesleki Yeterlilik Belgesi (Seviye 5),
Mesleki Yeterlilik Belgelerinden herhangi birine sahip olmak,
4. Başvuru süresinin ilk günü itibarı ile 40 yaşını doldurmamış olmak,
5. En az "B" sınıfı sürücü belgesine sahip olmak.
Otomotiv Şasi İskelet İşçisi
1. En az ilköğretim mezunu en fazla ortaöğretim mezunu olmak,
2. “Dahiliye, Genel Cerrahi, Göz, KBB, Nöroloji ve Psikiyatri" alanlarından “sağlam" onayı alınmış tam teşekküllü devlete bağlı resmi sağlık kuruluşlarından sağlık raporu almış olmak (Bu rapor sözlü ve uygulamalı sınavda başarılı olan adaylardan istenecektir),
3. Mesleki eğitim veren ortaöğretim kurumlarının;
a) Motorlu Araçlar Teknolojisi alanının Otomotiv Gövde dalından mezun olmak, Veya
b) Motorlu Araçlar Teknolojisi alanının Otomotiv Gövdeciliği dalında Milli Eğitim Bakanlığından onaylı Bitirme Belgesi, Yetki Belgesi, Sertifika, Bağımsız İşyeri Açma Belgesi, Kalfalık, Ustalık, Usta Öğreticilik belgelerinden herhangi birine sahip olmak, Veya
c) 11UMS0116-4 Otomotiv Gövde Onarımcısı (Seviye 4),
11UMS0116-5 Otomotiv Gövde Onarımcısı (Seviye 5),
Mesleki Yeterlilik Belgelerinden herhangi birine sahip olmak.
4.Başvuru süresinin ilk günü itibarı ile 40 yaşını doldurmamış olmak.
Başvuru Tarihi ve Şekli
Adaylar başvurularını 2-6 Ocak 2022 tarihlerinde İŞKUR Resmi web sayfası üzerinden yapabilecektir.
İllere Göre Kadro Dağılımı



KAMU İLANLARI VE MEMUR ALIMLARINDAN ANLIK OLARAK HABERDAR OLMAK İÇİN UYGULAMAMIZI İNDİRİN.
SOSYAL MEDYA HESAPLARIMIZI TAKİP EDEREK TÜM İLANLARDAN ANINDA HABERDAR OLUN!




