KPSS Tercihleri ile Ön Lisans Mezunu Mülakatsız Çok Sayıda Memur Alımı Yapılacak
Kamu kurum ve kuruluşlarına ön lisans mezunu adaylar arasından memur ataması yapılacak. Ön lisans mezunu olan ve 2018 KPSS 'den geçerli bir puan alan adayların başvuru yapacağı memur kadroları, başvuru bilgileri ve nitelik kodları haberimizde.
Kamuya ön lisans mezunu memur atanacak.
KPSS 2020/1 tercihleri kapsamında kamu kurum ve kuruluşlarına ön lisans mezunu adaylar arasından memur ataması yapılacak. Farklı kadrolara yapılacak memur atımınjda başvuru bilgileri haberimizde.
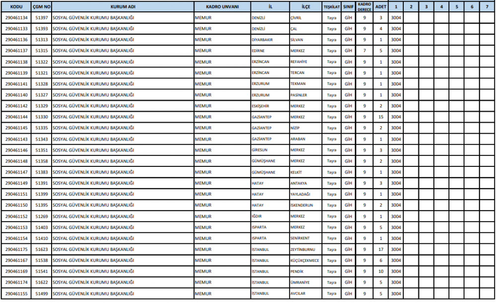
ALIM YAPILACAK KADROLAR

Tablonun büyük hali için Tıklayın

Tablonun büyük hali için Tıklayın

Tablonun büyük hali için Tıklayın

Tablonun büyük hali için Tıklayın

Tablonun büyük hali için Tıklayın

Tablonun büyük hali için Tıklayın

Tablonun büyük hali için Tıklayın

Tablonun büyük hali için Tıklayın

Tablonun büyük hali için Tıklayın

Tablonun büyük hali için Tıklayın

Tablonun büyük hali için Tıklayın

Tablonun büyük hali için Tıklayın

Tablonun büyük hali için Tıklayın

Tablonun büyük hali için Tıklayın
NİTELİK KODLARI
Ön Lisans Mezunları İçin Nitelik Kodları
Mezun Olunan Ön Lisans Programı
BAŞVURU
Başvurular ais.osym.gov.tr adresi üzerinden alınacak. Tercihlerini ÖSYM aday işlemleri sistemi üzerinden yapan adayların tercih ücretini anlaşmalı bankalara yatırarak başvurusunu tammalaması gerekmekıtedir.