Kamuya 3500-4000 TL Maaşla Hizmetli ve Zabıt Katibi Alımı 2019
Kamuya en az lise mezunu adaylar arasından hizmetli ve zabıt katibi alımı yapılacak. 201 zabıt katibi ve hizmetli alımı için başvurular başlıyor. İşte ilan başvuru başlangıç tarihi.
YSK 201 zabıt katibi ve hemşire alacak.
Yüksek Seçim Kurulu tarafından bir ilan yayımlandı. Geçtiğimiz hafta yayımlanan ilanda Yüksek Seçim Kurulu bünyesine en az lise mezunu adaylar arasından zabıt katibi ve hizmetli alımı yapılacağına yer verildi.
KPSS puan şartı ile yapılacak personel alımında başvurular 14 Ekim 2019 günü başlayacak.
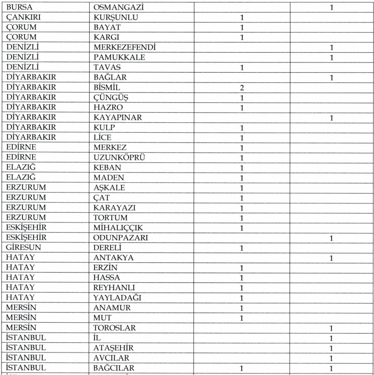
ALIM YAPILAN ŞEHİRLER







KİMLER BAŞVURU YAPABİLİR?
YSK tarafından yayımlanan personel alımı ilanına başvuru yapacak adayların aşağıdaki başvuru şartlarını taşıması gerekmektedir.
- 657 sayılı DMK 'nın 48 'inci maddesinki genel şartları taşımak,
- İlk defa memurluğa atanacaklar için 657 sayılı kanunun 40 ıncı maddesindeki yaş şartını taşımak,
- Güvenlik soruşturması ve arşiv araştırması olumsuz olmamak,
- 2018 KPSS 'den en az 70 almış olmak.
- En az lise mezunu olmak.
İlana başvuracak kadın-erkek adaylarla bilgi alış verişi için >> TIKLA KATIL
BAŞVURU
YSK kamu personeli alımı başvurusu internet üzerinden alınacak. Başvuru ekranı 14 Ekim 2019 Pazartesi günü açılacak. Başvuru ekranı açıldığı anda kamubulteni.com 'da olacak. Bildirimle başvuru ekranından haberdar olmak için mobil uygulamamızı indirin >>
Android için >>>> TIKLAYIN
İOS için >>>> TIKLAYIN