İçişleri ve 112 Çağrı Merkezlerine 1772 Personel Alımı Başvuru Ekranı Açıldı-İşte e Devlet Başvuru Ekranı Maaşı
İçişleri Bakanlığı merkez ve taşra birimlerine, 112 acil çağrı istasyonlarına en az lise mezunu adaylar arasından personel alımı yapılacağı açıklandı. KPSS puan şartı ile yapılacak personel alımında başvuruya ilişkin detaylar yazımızda.
İçişleri Bakanlığı 1772 personel alımı başvurusu başladı.
657 sayılı Devlet Memurları Kanununun 4 üncü maddesinin (B) fıkrasına göre 06/06/1978 tarihli ve 7/15754 sayılı Bakanlar Kurulu Kararı ile yürürlüğe konulan Sözleşmeli Personel Çalıştırılmasına İlişkin Esaslar ile Ek ve Değişiklikleri çerçevesinde; İçişleri Bakanlığı merkez ve taşra teşkilatı birimlerinde çalıştırmak üzere 1772 kamu personeli alımı başvuru ekranı açıldı. Başvurular e Devlet kapısı üzerinden alınmaya başladı.
Kadın erkek ilana başvuracaklarla bilgi alış verişinde bulunmak için TIKLAYIN
KİMLER BAŞVURU YAPABİLİR?
1-657 sayılı Devlet Memurları Kanununun değişik 48 inci maddesinin (A) bendinde belirtilen nitelikleri taşımak,
(a) Türkiye Cumhuriyeti vatandaşı olmak,
(b) Kamu haklarından mahrum bulunmamak,
(c) Türk Ceza Kanununun 53 üncü maddesinde belirtilen süreler geçmiş olsa bile; kasten işlenen bir suçtan dolayı bir yıl veya daha fazla süreyle hapis cezasına ya da affa uğramış olsa bile devletin güvenliğine karşı suçlar, Anayasal düzene ve bu düzenin işleyişine karşı suçlar, zimmet, irtikâp, rüşvet, hırsızlık, dolandırıcılık, sahtecilik, güveni kötüye kullanma, hileli iflas, ihaleye fesat karıştırma, edimin ifasına fesat karıştırma, suçtan kaynaklanan malvarlığı değerlerini aklama veya kaçakçılık suçlarından mahkûm olmamak,
(ç) Erkek adaylar için askerlik durumu bakımından; askerlikle ilgisi bulunmamak, askerlik çağına gelmemiş bulunmak veya askerlik çağına gelmiş ise muvazzaf askerlik hizmetini yapmış yahut ertelenmiş veya yedek sınıfa geçirilmiş olmak,
(d) 657 sayılı Devlet Memurları Kanununun 53 üncü madde hükümleri saklı kalmak kaydı ile görevini devamlı yapmasına engel olabilecek akıl hastalığı bulunmamak,
2- Giriş(sözlü) sınavının yapıldığı yılın ocak ayının birinci günü itibarıyla 35 yaşını doldurmamış olmak(01 Ocak 1986 ve daha sonraki tarihlerde doğanlar),
3- ÖSYM tarafından 2020 yılında yapılan Kamu Personel Seçme Sınavı (B) Grubundan; lisans mezunları için KPSSP(3), ön lisans mezunları için KPSSP(93) ve lise mezunları için KPSSP(94) puan türünden en az 60(altmış) ve üzerinde KPSS puanı almış olmak kaydıyla başvuruda bulunanlardan, KPSS puan türü ve tercih edilen pozisyon unvanı esas alınmak suretiyle yapılacak olan puan sıralamasına göre ilan edilen pozisyon sayısının 5 katı adayın içerisinde bulunmak,
4- Adaylar ancak bir pozisyon unvanı sınavına başvurabilecektir. Bu başvuru sadece bir ile veya Bakanlığa yapılacaktır. Birden fazla pozisyon unvanına veya birden fazla ile ya da il ile birlikte Bakanlığa yapılan başvurular kabul edilmeyecektir.
5-Kamu kurum ve kuruluşlarında “4/B sözleşmeli personel pozisyonlarında” tam zamanlı olarak görev yapmakta iken sözleşmesi feshedilen adayların başvuru tarihi itibarıyla bir yıllık bekleme süresini tamamlamış olmaları gerekmektedir. (Sözleşmeli Personel Çalıştırılmasına İlişkin Esaslar’ın Ek-1 inci maddesinin dördüncü fıkrasının (a), (b) ve (c) bentlerine göre sözleşmesini tek taraflı fesheden adaylar hariç olmak üzere
Avukat, Arşiv Uzmanı, Mühendis (Elektrik- Elektronik, Makine, Bilgisayar ve Harita), Şehir Plancısı, Programcı, Tekniker (Bilgisayar, Harita), Teknisyen (Elektrik- Elektronik) pozisyonlarından herhangi birine başvuruda bulunacak adayların aşağıda her pozisyon unvanı için belirtilen özel şartlara ilave olarak;
(a) Kamu kurum ve kuruluşlarında herhangi bir 4/B sözleşmeli pozisyonda çalışanların, başvuruda bulunmak istedikleri sözleşmeli pozisyon unvanı ile halen görev yaptıkları 4/B sözleşmeli personel pozisyon unvanının aynı olmaması,
(b) Kamu kurum ve kuruluşlarında herhangi bir 4/B sözleşmeli pozisyonda çalışmakta iken sözleşmesi feshedilen adayların, fesihten önce görev yaptıkları 4/B sözleşmeli personel pozisyonuyla aynı unvanlı pozisyona başvuruda bulunmaları halinde, son müracaat tarihi itibariyle bir yıllık bekleme süresini tamamlamış olmaları gerekmektedir.
ÖZEL ŞARTLARI
1-AVUKAT : a-Hukuk Fakültelerinden mezun olmak, b-Barodan veya noterden onaylı Avukatlık ruhsatına sahip olmak.
2-ARŞİV UZMANI Bilgi ve Belge Yönetimi, Dokümantasyon ve Enformasyon, Arşivcilik veya Kütüphanecilik lisans programından ya da programında Osmanlı Paleografyası, Arapça, Farsça derslerinden en az birine yer veren lisans bölümlerinden mezun olmak veya bunlara denkliği Yükseköğretim Kurulunca kabul edilen yurt içi veya yurt dışındaki öğrenim kurumlarından birisini bitilmiş olmak.
3-MÜHENDİS:
A-Elektrik- Elektronik Mühendisi : Fakültelerinin elektrik, elektronik, elektrik-elektronik veya elektronik ve haberleşme mühendisliği bölümlerinden mezun olmak veya bunlara denkliği Yükseköğretim Kurumlarınca kabul edilen yurt içi veya yurt dışındaki öğrenim kuramlarından birisini bitirmiş olmak.
B-Makine Mühendisi : Fakültelerin Makine Mühendisliği/Makina Mühendisliği, Makine ve İmalat Mühendisliği, Makine ve Malzeme Mühendisliği bölümlerinin herhangi birinden veya bunlara denkliği Yükseköğretim Kurumu tarafından kabul edilen bölümlerden mezun olmak
C-Bilgisayar Mühendisi : Fakültelerin Bilgisayar Mühendisliği, Kontrol ve Bilgisayar Mühendisliği, Bilgisayar Bilimleri ve Mühendisliği, Bilgisayar ve Yazılım Mühendisliği, Bilişim Sistemleri Mühendisliği bölümlerinin herhangi birinden veya bunlara denkliği Yükseköğretim Kurumu tarafından kabul edilen bölümlerden mezun olmak.
Ç-Harita Mühendisi : Fakültelerin Jeodezi ve Fotogrametri Mühendisliği, Harita Mühendisliği, Geomatik Mühendisliği lisans programlarının herhangi birinden veya bunlara denkliği Yükseköğretim Kurumlarınca kabul edilen yurt içi veya yurt dışındaki öğrenim kurumlarından birisini bitirmiş olmak,
4-ÇÖZÜMLEYİCİ a-En az dört yıl süreli yükseköğrenim mezunu olmak, b-C, C++, C#, Java, Java Script programlama dillerinden en az ikisini örgün öğretim yoluyla alıp başarılı olduğunu belgelemek veya bu programlama dillerinden en az ikisini içerecek şekilde Milli Eğitim Bakanlığınca onaylanmış bilgisayar programcılığı sertifikasına sahip olmak, c-Yabancı Dil Seviye Tespit Sınavından en az (D) düzeyinde İngilizce YDS belgesine sahip olmak veya buna denk kabul edilen ve uluslararası geçerliliği bulunan bir belgeye sahip olmak.
5-ŞEHİR PLANCISI Fakültelerin Şehir ve Bölge Planlama lisans programından mezun olmak veya bunlara denkliği Yükseköğretim Kurulunca kabul edilen yurt içi veya yurt dışındaki öğrenim kurumlarından birisini bitirmiş olmak.
6-PROGRAMCI: a- İki yıllık yüksekokulların Bilgisayar Programcılığı, Bilgisayar Programcılığı (İnternet), Bilgisayar Programlama, Bilgisayar Teknolojisi ve Programlama, Web Teknolojileri ve Programlama bölümlerinin herhangi birinden veya bunlara denkliği Yükseköğretim Kurumu tarafından kabul edilen bölümlerden mezun olmak, b- Yabancı Dil Seviye Tespit Sınavından en az (D) düzeyinde İngilizce YDS belgesine sahip olmak veya buna denk kabul edilen ve uluslararası geçerliliği bulunan bir belgeye sahip olmak.
7-BÜRO PERSONELİ
Lisans Mezunları İçin a- Lisans mezunu olmak, b- Kamu kurum ve kuruluşlarında 4/B sözleşmeli personel olarak çalışmıyor olmak, c- Kamu kurum ve kuruluşlarında 4/B sözleşmeli personel olarak çalışmakta iken sözleşmenin feshedilmesi durumunda, son müracaat tarihi itibarıyla bir yıllık bekleme süresini tamamlamış olmak gerekmektedir.
Ön Lisans Mezunları İçin a- Ön lisans mezunu olmak, b- Kamu kurum ve kuruluşlarında 4/B sözleşmeli personel olarak çalışmıyor olmak, c- Kamu kurum ve kuruluşlarında 4/B sözleşmeli personel olarak çalışmakta iken sözleşmenin feshedilmesi durumunda, son müracaat tarihi itibarıyla bir yıllık bekleme süresini tamamlamış olmak gerekmektedir.
8-ÇAĞRI KARŞILAMA PERSONELİ
Lisans Mezunları İçin a- Lisans mezunu olmak, b- Kamu kurum ve kuruluşlarında 4/B sözleşmeli personel olarak çalışmıyor olmak, c- Kamu kurum ve kuruluşlarında 4/B sözleşmeli personel olarak çalışmakta iken sözleşmenin feshedilmesi durumunda, son müracaat tarihi itibarıyla bir yıllık bekleme süresini tamamlamış olmak gerekmektedir. Ön Lisans Mezunları İçin (Diğer) a- Çağrı Merkezi Hizmetleri bölümü hariç ön lisans mezunu olmak, b- Kamu kurum ve kuruluşlarında 4/B sözleşmeli personel olarak çalışmıyor olmak, c- Kamu kurum ve kuruluşlarında 4/B sözleşmeli personel olarak çalışmakta iken sözleşmenin feshedilmesi durumunda, son müracaat tarihi itibarıyla bir yıllık bekleme süresini tamamlamış olmak gerekmektedir.
Ön Lisans Mezunları İçin (Çağrı Karşılama Hizmetleri Bölümü Mezunları) a- İki yıllık yüksekokulların Çağrı Merkezi Hizmetleri bölümünden veya bunlara denkliği Yükseköğretim Kurumu tarafından kabul edilen bölümlerden mezun olmak, b- Kamu kurum ve kuruluşlarında 4/B sözleşmeli personel olarak çalışmıyor olmak, c- Kamu kurum ve kuruluşlarında 4/B sözleşmeli personel olarak çalışmakta iken sözleşmenin feshedilmesi durumunda, son müracaat tarihi itibarıyla bir yıllık bekleme süresini tamamlamış olmak gerekmektedir.
9-TEKNİKER (HARİTA, BİLGİSAYAR) a- Harita Teknikerliği için; Meslek Yüksek Okullarının Harita, Harita Kadastro, Harita ve Maden Ölçme, Harita Teknikerliği, Harita ve Kadastro ön lisans bölümlerinden herhangi birinden mezun olmak veya bunlara denkliği Yükseköğretim Kurulunca kabul edilen yurt içi veya yurt dışındaki öğrenim kurumlarından birisini bitirmiş olmak, b-Bilgisayar Teknikerliği için; Meslek Yüksek Okullarının Bilgisayar Teknolojisi (Bilgisayar ve Enformasyon Sistemleri, Bilişim Sistemleri ve Teknolojileri, Bilgisayar Teknolojileri ve Yönetimi, Bilgisayar Donanım, Bilgisayar Teknolojileri ve Bilişim Sistemleri), Bilgisayar Programcılığı (Bilgisayar Programlama, Web Teknolojileri ve Programlama, Bilgisayar Teknolojisi ve Programlama), Bilgi Güvenliği Teknolojisi, Bilgisayar Destekli Tasarım ve Animasyon, İnternet ve Ağ Teknolojileri, Sağlık Bilgi Sistemleri Teknikerliği ve Web Tasarımı ve Kodlama ön lisans bölümlerinin herhangi birinden mezun olmak veya bunlara denkliği Yükseköğretim Kurulunca kabul edilen yurt içi veya yurt dışındaki öğrenim kurumlarından birisini bitirmiş olmak,
10-TEKNİSYEN (ELEKTRİK-ELEKTRONİK) Mesleki ve teknik öğretim veren ortaöğretim kurumları ile denkliği Milli Eğitim Bakanlığınca kabul edilen diğer mesleki ve teknik öğretim veren ortaöğretim kuramlarından veya bu okullara denk mülga okulların Elektrik-Elektronik Teknolojisi alanının Elektrik, Elektrik- Elektronik, Elektrikçilik Bölümü, Elektrik Tesisatçılığı, Elektromekanik Taşıyıcılar, Endüstriyel Elektronik, Endüstriyel Otomasyon Teknolojisi (Elektronik), Elektronik, ElektrikElektronik Teknolojisi (Otomasyon Sistemleri Dalı), Bobinaj, Bobinajcılık, Otomatik Kumanda, Asansör, Radyoculuk, Monitörlük, Telekomünikasyon, Büro Makineleri Teknik Servisi, Elektrik Tesisatları ve Pano Montörlüğü, Elektrikli Ev Aletleri Teknik Servisi, Asansör Sistemleri, Endüstriyel Bakım Onarım, Görüntü ve Ses Sistemleri, Güvenlik Sistemleri, Haberleşme Sistemleri, Yüksek Gerilim Sistemleri dallarının herhangi birinden mezun olmak,
11-DESTEK PERSONELİ (Şoför) a- Lise mezunu olmak, b- En az B sınıfı sürücü belgesine sahip olmak.



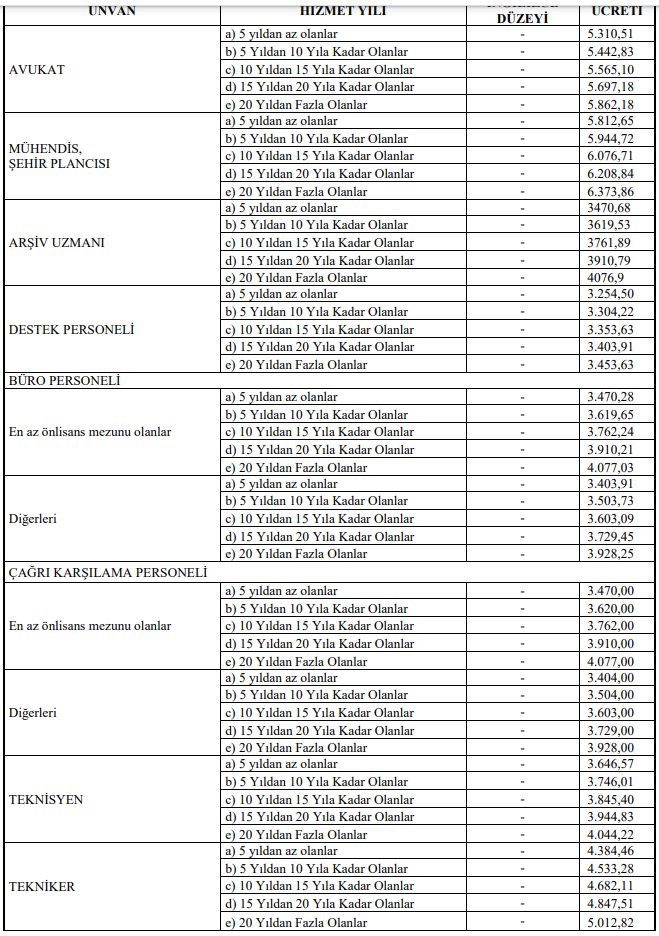
PERSONELLERE VERİLECEK MAAŞLAR


BAŞVURU EKRANI AÇILDI
İlana başvurular e devlet kapısı üzerinden başladı. Başvuru yapmak isteyen adayların aşağıdaki linke gitmesi gerekmektedir.
https://www.turkiye.gov.tr/icisleri-bakanligi-personel-sinav-basvurusu
Linke tıklayın. Açılan yeni sayfada KİMLİĞİMİ ŞİMDİ DOĞRULA kısmına tıklayın. Daha sonra açılan sayfada kimlik numaranız ve e devlet şifrenizle giriş yapın. Daha sonra karşınıza çıkan ekranda UYGULAMAYA GİT linkine tıklayın.
,
Daha sonra BAŞVUR butonunun altındaki yeşil oka tıklayıp müracaatınızı yapın.
BAŞVURU SONUÇLARI AÇIKLANDIĞINDA HABERDAR OLMAK İÇİN UYGULAMAMIZI İNDİRİN:
Android için >>>> TIKLAYIN
İOS için >>>> TIKLAYIN