Gençlik ve Spor Bakanlığı 1017 Personel Alımı Başvuru Şartları Açıklandı 81 İl Kontenjan Dağılımı Belli Oldu
Gençlik ve Spor Bakanlığı tarafından dün duyurulan personel alımı için başvuru şartları ve kontenjan dağılımı belli oldu. Peki şartlar neler, kadro dağılımı nasıl. 81 il kadro dağılımı.
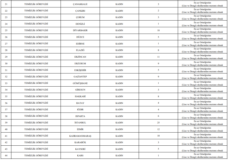
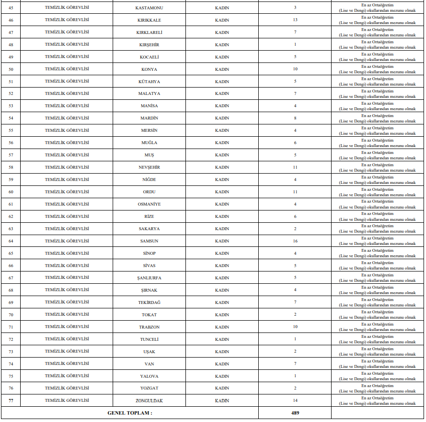
Bakanlığın taşra teşkilatlarında istihdam edilmek üzere 1017 temizlik personeli alımı yapılacak. Başvuru yapacak adaylar üç kategoride değerlendirilecek. Alımlar kura yöntemiyle yapılacak olup kura çekimi 31 Ağustos 2022 Çarşamba günü yapılacaktır. Kura çekiminde adı çıkan adaylar daha sonra sözlü sınava alınacak.
Alım Yapılacak Pozisyonlar
Sürekli işçi: 767 personel
Engelli işçi: 144 personel
Eski hükümlü: 106 personel
Başvurular Ne Zaman Başlıyor
Gençlik ve Spor Bakanlığı iş ilanları için başvuru süreci 8 Ağustos 2022 tarihinde başlayacak ve son başvuru tarihi 12 Ağustos 2022 olarak ilan edildi. Adaylar başvurularını İŞKUR üzerinden kendi sistemlerine giriş yaparak tamamlayabilecek.
Başvuru Şartları
a) 657 sayılı Devlet Memurları Kanunu'nun 48’inci maddesinde belirtilen şartları taşımak.
b) 2527 sayılı Türk Soylu Yabancıların Türkiye'de Meslek ve Sanatlarını Serbestçe Yapabilmelerine, Kamu, Özel Kuruluş veya İşyerlerinde Çalıştırılabilmelerine İlişkin Kanun hükümleri saklı kalmak kaydıyla Türk vatandaşı olmak.
c) 18 yaşını tamamlamış olmak (12.08.2004 ve öncesi doğumlu olmak).
d) Affa uğramış olsa bile Devletin güvenliğine karşı suçlar, anayasal düzene ve bu düzenin işleyişine karşı suçlar, millî savunmaya karşı suçlar, Devlet sırlarına karşı suçlar ve casusluk, zimmet, irtikâp, rüşvet, hırsızlık, dolandırıcılık, sahtecilik, güveni kötüye kullanma, hileli iflas, ihaleye fesat karıştırma, edimin ifasına fesat karıştırma, suçtan kaynaklanan malvarlığı değerlerini aklama veya kaçakçılık suçlarından mahkûm olmamak.
e) Özel kanun veya diğer mevzuatta yer alan şartları taşımak.
f) Kamusal hakları kullanmaktan yoksun bırakılmamış olmak.
g) Güvenlik soruşturması ve/veya arşiv araştırması olumlu sonuçlanmak.
h) Herhangi bir sosyal güvenlik kurumundan emeklilik, yaşlılık veya malullük aylığı almamak.
i) Görevini devamlı yapmaya engel hastalığı bulunmamak.
j) Tam zamanlı ve vardiyalı çalışmaya engel durumu bulunmamak.
k) Başvurduğu kadronun bulunduğu il sınırlarında ikamet etmek.
l) Başvuru yaptığı kadro için aranan cinsiyet şartını taşımak.
m) En az ortaöğretim (lise ve dengi) öğrenim düzeyine sahip olmak.
n) Eski hükümlü sürekli işçi pozisyonları için Kamu Kurum ve Kuruluşlarına Eski Hükümlü veya Terörle Mücadelede Malul Sayılmayacak Şekilde Yaralananların İşçi Olarak Alınmasında Uygulanacak Usul ve Esaslar Hakkında Yönetmeliğin 4’üncü maddesinin birinci fıkrasının (a) bendinde tanımlandığı şekilde eski hükümlü olmak.
o) Engelli sürekli işçi pozisyonları için Kamu Kurum ve Kuruluşlarına İşçi Alınmasında Uygulanacak Usul ve Esaslar Hakkında Yönetmeliğin 3’üncü maddesinin birinci fıkrasının (ı) bendinde tanımlandığı şekilde engelli olmak.
Temizlik Görevlisi meslek kolu için teslim edilmesi gereken belgeler;
a) En az Ortaöğretim (lise ve dengi) öğrenim düzeyine sahip olduğunu gösterir diploma veya mezuniyet belgesi,
b) Beyan formu (Gençlik ve Spor İl Müdürlüklerince belge teslimi esnasında temin edilecektir.)










KAMU İLANLARI VE MEMUR ALIMLARINDAN ANLIK OLARAK HABERDAR OLMAK İÇİN UYGULAMAMIZI İNDİRİN.
SOSYAL MEDYA HESAPLARIMIZI TAKİP EDEREK TÜM İLANLARDAN ANINDA HABERDAR OLUN!




