KPSS Tercihleri ile Hastanelere Lise Mezunu Mülakatsız Personel Alımı
KPSS 2020/4 tercihleri ile lise mezunu adaylar arasından çok sayıda mülakatsız personel alımı yapılacak. KPSS puanı ile yapılacak hemşire, sağlık teknisyeni, ATT alımında başvuru detayları haberimizde.
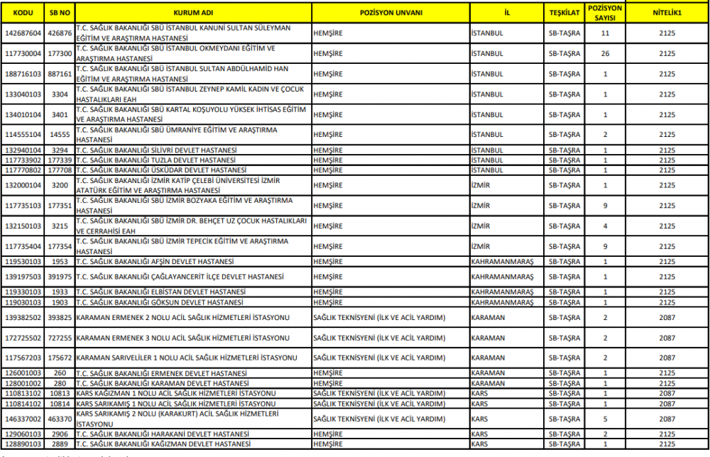
KPSS 2020/4 ile lise mezunu sağlık personeli alımı.
KPSS 2020/4 tercihleri ile lise mezunu kadrolara çok sayıda personel alımı yapılacak. KPSS puanı ile mülakatsız şekilde yapılan personel alımında lise mezunu kadrolar, alım yapılan yerler ve nitelik kodları şu şekilde;
ALIM YAPILAN YERLER












NİTELİK KODLARI

Mezun Olunan Ortaöğretim Alan/Dallar için Tıklayın
TERCİHLER 14 ŞUBAT 'TA BAŞLIYOR
KPSS 2020/4 tercih başvuruları 14 Şubat 2020 günü başlıyor. Siz de aşağıdaki yorum kısmından tercih edeceğiniz yerleri ve kadroyu yazarak diğer adaylarla bilgi alış verişinde bulunabilirsiniz.
SADECE İŞ HABERLERİ SAYFASI AÇILDI. TIKLA VE KATILMA İSTEĞİNİ GÖNDER.