HSK Büro Memuru Başvuru Sonuçları ve KPSS Taban Puanı Açıklandı
Hakimler ve Savcılar Kurulu tarafından bir son dakika açıklaması geldi ve 25 memur alımı sonuçları açıklandı. İşte mülakata girmeye hak kazananların listesi.
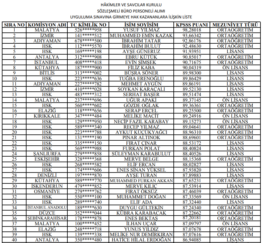
Son dakika haberi: HSK büro memuru alımı başvuru sonuçları açıklandı.
Hakimler ve Savcılar Kurulu tarafından yapılan son dakika açıklamasında 25 büro memuru alımı başvuru sonuçlarına , mülakata girecek adayların listesine ve mülakat metinlerine yer verildi.
İşte HSK açıklaması:
29/06/2019 Cumartesi günü saat 09:00'da Hâkimler ve Savcılar Kurulu Binasında yapılacak olan sözleşmeli büro personeli alımı uygulama sınavına girmeye hak kazananlara ilişkin liste ve adaylara yazdırılacak metinler aşağıdaki linkte verilmiştir.
MÜLAKATA GİRMEYE HAK KAZANAN İSİMLER



KPSS PUANI 84,05 'E DÜŞTÜ
HSK memur alımı sonuçlarına baktığımızda KPSS taban puanın 84 'e kadar düştüğü görülüyor.
2- Uygulama Sınavında Çıkacak Metinler
KADIN-ERKEK MEMUR ADAYLARI BU SAYFADA
Kadın-erkek memur polis asker adayları ile bilgi alış verişi için TIKLAYIN
MEMUR ALIMLARINDAN BİLDİRİMLE HABERDAR OLMAK İÇİN MOBİL UYGULAMAMIZI İNDİRİN>>
Android için >>>> TIKLAYIN
İOS için >>>> TIKLAYIN